技术沙龙

  • 钕铁硼磁铁:N52一定比N35强吗?

    钕铁硼磁铁:N52一定比N35强吗?

    上周,一位工程师朋友给我发来消息:“我们项目要用强力磁铁,供应商推荐N35,但我在网上看到N52性能更好,是不是应该直接上N52?” 这个问题,我每个月至少要被问三次。 大家普遍有个认知:N52牌号高,性能肯定比N35强。但真相是在某些测试中,N35的“磁力”数据竟然比N52高。这不是材料问题,而...
    阅读更多
  • 钕铁硼磁铁耐温应用典型问题解答:5个常见误区,你中了几个?

    钕铁硼磁铁耐温应用典型问题解答:5个常见误区,你中了几个?

    在前面的系列文章中,我们系统讲解了钕铁硼磁铁的耐温性能: •《原理篇》:分析了材料、形状、磁路三大因素如何共同决定实际耐温能力 •《应用篇》:提供了从温度评估到材料选择、从策略确定到测试验证的完整方法 但在与工程师们的交流中,我们发现即使看过原理和方法,很多人在实际应用时仍然...
    阅读更多
  • 钕铁硼磁铁耐温性能全解析(下):设计策略与可靠性测试详解

    钕铁硼磁铁耐温性能全解析(下):设计策略与可靠性测试详解

    在之前的《原理篇》中,我们深入分析了: • 耐温性能的两个层面:材料标准参数 vs 产品实际表现 • 三大核心影响因素:材料牌号、产品形状、磁路结构如何共同决定真实耐温能力 • 钕铁硼磁铁为什么会高温退磁:磁铁材料合格但应用高温失效的根本原因 理解了原理,下一个问题是:在应用工程设计...
    阅读更多
  • 钕铁硼磁铁耐温性能全解析(上):定义、标准与影响因素

    钕铁硼磁铁耐温性能全解析(上):定义、标准与影响因素

    一个常见的困扰 "我们按照材料性能表中N42牌号选的钕铁硼磁铁,材料检测报告也都合格,为什么实际使用之后磁性能就明显下降了?" 这是我们经常听到的用户反馈。很多工程师在钕铁硼磁铁失效后的第一反应是质疑材料质量,但深入分析后往往发现:磁铁材料本身没问题,问题出在对耐温性能的理解偏...
    阅读更多
  • 磁铁表磁完全解析:概念、分布、计算、测量一文讲透

    磁铁表磁完全解析:概念、分布、计算、测量一文讲透

    你有没有遇到过这样的场景:拿着高斯计在磁铁表面测来测去,数值忽高忽低?更让人困惑的是,同样牌号的磁铁,有的测出来高、有的测出来低?今天我们就来聊聊这个让工程师有时感到困惑的话题——磁铁的表磁。 一、 什么是“表磁”:从物理概念到工程语言...
    阅读更多
  • 一图读懂”退磁曲线”:剩磁、矫顽力和磁能积的前世今生

    一图读懂”退磁曲线”:剩磁、矫顽力和磁能积的前世今生

    永磁材料的性能如何衡量?Br(剩磁)、Hcj(内禀矫顽力)和(BH)max(最大磁能积)这些关键参数究竟代表什么?它们又是如何从一条"退磁曲线"上诞生的? 对于永磁材料行业的工程师来说,这些术语是日常工作的"通用语言";但对于行业之外的人而言,这些概念往往显得艰涩难懂。今天,我们将深入解...
    阅读更多
  • 一文读懂永磁体充磁:从原理到应用实践

    一文读懂永磁体充磁:从原理到应用实践

    你有没有想过,我们日常生活中那些形形色色的磁铁,它们强大的磁力到底是从哪里来的?难道它们生来就有磁性吗?其实不然,大多数高性能的永磁材料在生产出来时,是没有磁性或磁性很弱的。它们之所以能变成我们熟悉的“磁铁”,背后离不开一个关键的工艺——充磁。今天,我们就来一起深入了解一下...
    阅读更多
  • 钐钴磁铁是怎么”烧”出来的?揭秘耐高温“磁王”钐钴磁钢的诞生之旅!

    钐钴磁铁是怎么”烧”出来的?揭秘耐高温“磁王”钐钴磁钢的诞生之旅!

    你是否经历过这样的场景:在严苛高温的工作环境下,磁王钕铁硼磁钢早已“力不从心”,磁力大幅衰减甚至消失。这时,一种个性坚毅、不畏高温的特殊磁性材料——钐钴磁钢,就成了不可或缺的关键角色。钐钴(SmCo)是如何炼成这身“钢筋铁骨”的?今天,我们就一起走进生产现场,揭开这位耐高温“磁王”...
    阅读更多
  • 磁路设计的六大类型:从基础到前沿的技术全景

    磁路设计的六大类型:从基础到前沿的技术全景

    当工程师们拿起一块钕铁硼磁铁时,他们面临的不仅仅是如何让它“更强”,而是如何让磁场按设计目标受控地分布和作用——让需要的磁场在需要的时机出现在需要的地方,这就是磁路设计的艺术。 磁路设计本质上是关于"磁通管理"的工程方法体系,就像电路设计管理电流的流动路径一样,磁路设计的核心在...
    阅读更多
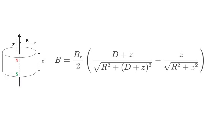
  • 工程师必会:不用打样就能算出磁铁强度?

    工程师必会:不用打样就能算出磁铁强度?

    “在距离3mm的位置,这块磁铁的磁场强度大概有多少高斯?” 在产品研发中,无论是设计霍尔传感器开关,还是搭建精密吸附结构,工程师们总会遇到这个直击灵魂的问题。磁场看不见摸不着,如果仅凭经验估算,轻则性能冗余、成本高企,重则设计失败、项目延期。 那么,有没有办法不需要打样,就可以...
    阅读更多
  • 激光器里竟然藏着磁铁?揭秘永磁材料在光学中的“隐形”力量!

    激光器里竟然藏着磁铁?揭秘永磁材料在光学中的“隐形”力量!

    当你看到精密激光切割机划过钢板火花四溅;或是享受光纤宽带网络传输的高清视频时,你是否想过:在这些纯粹的“光”的世界里,看似“笨重”的磁铁,究竟扮演着什么角色?“光”与“磁”,这两个看似风马牛不相及的物理现象,是如何在一个小小的元器件里携手共事,并发挥出1+1>2的强大功能的呢?今...
    阅读更多
  • 海尔贝克阵列(Halbach Array)阵列磁路设计详解:原理、优势与应用

    海尔贝克阵列(Halbach Array)阵列磁路设计详解:原理、优势与应用

    你是否遇到过这样的烦恼:一块强力的钕铁硼磁铁,虽然工作面磁场强劲,但其背面的磁场用不到,不仅浪费了磁能,还可能干扰周围的精密器件。有没有一种方法,能让磁场只在我们需要的方向出现?听起来是不是有些不可思议?而这种看似"有悖常理"的磁场分布,正是海尔贝克阵列(Halbach Array)的...
    阅读更多
1234 下一页 > >> 页数 1 / 4

敬请留言:

把你的信息写在这里并发送给我们。