磁铁表磁完全解析:概念、分布、计算、测量一文讲透

你有没有遇到过这样的场景:拿着高斯计在磁铁表面测来测去,数值忽高忽低?更让人困惑的是,同样牌号的磁铁,有的测出来高、有的测出来低?今天我们就来聊聊这个让工程师有时感到困惑的话题——磁铁的表磁。

一、 什么是“表磁”:从物理概念到工程语言的转化

在永磁材料发展的早期,工程师们面临一个实际难题:如何快速判断一块磁铁的磁性强弱?

理论上,我们可以用"剩磁Br"(单位:特斯拉T或高斯Gs)来描述材料内部的磁化强度,这是材料本身的固有属性。但问题是,剩磁只能使用专门的磁滞曲线仪测量特制的样品而得,过程比较繁琐,要求也挺高。

于是,一个更实用的参数应运而生——表磁(Surface Magnetic Field)。通俗地讲,“表磁”就是表面磁场强度,指的是磁铁表面某一点的磁感应强度,单位通常是“高斯(Gauss)”或“毫特斯拉(mT)”,可以用便携式高斯计直接测量。

剩磁和表磁:一对常被混淆的"双胞胎"
由于单位相同,很多人会把剩磁和表磁当成一回事,这是个非常普遍的误解。让我们用一个简单的类比来说清楚:

剩磁就像灯泡的额定功率。这是灯泡的"内在实力",是固有属性,只与灯泡本身的规格有关。60W的灯泡就是60W,100W的灯泡就是100W,这是写在产品"基因"里的数字。

表磁就像你眼睛看到的实际亮度。这是灯泡的"外在表现",不仅取决于灯泡功率(剩磁),还受灯罩形状(磁铁形状)、观察距离(测量点位置)、房间大小(磁铁尺寸)的影响。同样一个100W灯泡,装上磨砂灯罩和装上透明灯罩,你感受到的亮度完全不同。

09 surface field 05

烧结钕铁硼N35不同尺寸圆柱磁钢中心表磁对比示意图

看到了吗?同样的材料(剩磁相同),不同尺寸的磁铁,表磁相差很多。这就是为什么我们不能用表磁来判断材料牌号,而一块大尺寸的N35钕铁硼圆柱磁钢的表磁,可能还会比一片N52钕铁硼薄片磁钢还要高。

09 surface field 08

烧结钕铁硼N35与N52不同尺寸圆柱磁钢中心表磁对比示意图

所以,一块磁铁内在的磁性能是其根本,而表磁就是这种内在性能在外部空间的直观体现之一。它告诉我们,在这个具体的点上,磁场有多"密"、有多"强"。这个概念之所以重要,是因为在很多应用中,比如传感器、霍尔元件或精密吸附装置,我们更关注磁铁外部某工作距离处的磁场(气隙磁场),表磁作为'零距离'的磁场强度,是所有计算的基准参考点。

表磁的出现,让人们使用磁铁时,有了一个"看得见、摸得着"的参考指标。但也正因为它的"便捷性",很多人会把它当成了磁铁性能的唯一标准。这其实是个误区,我们稍后会详细解释。

二、表磁的分布:磁力线告诉我们的故事

既然表磁受尺寸形状影响这么大,那同一块磁铁表面不同位置的表磁会一样吗?很多人以为应该差不多,但事实恰恰相反——磁铁的表磁分布极不均匀。

如果你用高斯计,去测量一片钕铁硼圆柱磁铁的不同位置的表面磁场,你会发现:中心位置读数最低,越往边缘数值越高。这不是磁铁做的不好,也并非测量误差,而是磁场分布的固有规律。

为什么会这样?这要从磁力线的行为说起。磁铁内部的磁力线从N极指向S极,穿出表面时需要找"出口"。想象一下演唱会散场时的人流——宽阔的中心区域人群分散,但到了出口处就会拥挤。

磁力线也是如此,边缘就像是磁力线的"出口瓶颈",从内部汇聚而来的磁力线被迫在这里集中穿出,导致边缘的磁场密度反而更高。而中心区域虽然也有磁力线垂直穿出,但因为面积大、分布相对分散,单位面积的磁通密度(也就是表磁)就低一些。

09 surface field 06

磁铁表面磁力线分布示意图

这种分布特点在薄片型磁铁上最为明显。比如一片N35 Φ20x5mm的磁铁(见下图红色曲线),边缘表磁大约比中心高出30%。但如果磁铁厚度增加到10mm(褐色曲线)或20mm(蓝色曲线),这个差异就会缩小到10%以内。对于长柱型磁铁(厚度大于直径,比如Φ20x30mm,紫色曲线),表磁的边缘效应会进一步减弱,分布变得相对均匀。

09 surface field 10

N35Φ20mm不同厚度钕铁硼磁铁水平方向表磁分布曲线对比

厚度也会影响磁铁的表磁分布。同样直径的磁铁,厚度越大,表磁整体水平越高(包括边缘和中心)。这不是线性关系:从5mm加厚到10mm,表磁可以提升60%;从10mm增加到20mm,表磁可以再提升20%左右;从20mm增加到30mm,就只能再提升不到5%了,逐渐出现饱和效应。

09 surface field 11

N35Φ20mm不同厚度钕铁硼磁铁N极中心位置垂直方向表磁分布曲线对比

为什么会饱和? 主要有两个原因:一是磁铁越厚,内部产生的"退磁场"(与磁化方向相反的磁场)越强,部分抵消了厚度增加的优势;二是当厚度超过直径后,新增的磁通更多地从侧面"漏掉",而不是垂直穿出表面形成有效磁场。这就像往杯子里倒水,倒得太满就会从边缘溢出,而不是让水面继续升高。

形状的变化会让分布变得更复杂。方形磁铁的四个角是表磁最高点,边的中点次之,面的中心最低。环形磁铁的内孔边缘和外圆边缘都有磁场集中,而且内孔因为半径小、曲率大,表磁往往更高。至于瓦形、扇形这类异形磁铁,分布就完全不对称了,只能用仿真软件才能准确预测。

09 surface field 09

不同形状磁铁表磁分布形态对比

那么,既然中心点不是最强的,为什么我们通常都以中心点的表磁作为参考标准呢?这是因为中心点的磁场梯度最小,测量位置也易于把握,测量重复性最好——探头位置稍有偏移也不会导致读数大幅变化,因此成为行业约定俗成的标准测量点。

三、表磁能不能计算出来?公式与仿真双管齐下

既然表磁这么重要,我们能在设计阶段就预估出来吗?答案是肯定的。不过方法要分两种:简单形状可以用经验公式快速估算,复杂设计就需要上仿真软件了。

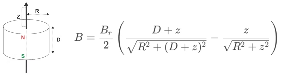
对于简单规则形状的烧结钕铁硼、钐钴、铁氧体磁铁(如圆片、方块、圆环),存在一些近似计算公式,可以对磁铁中心点表磁进行计算。

09 surface field 03

烧结钕铁硼圆柱磁钢中心点表磁近似计算公式

但这些公式通常比较复杂且存在误差,而且对于复杂的形状,就需要依赖专业的磁场仿真软件(FEM)进行有限元仿真计算。工程师可以在软件中建立磁铁的三维模型,输入材料的B-H退磁曲线数据,就能非常精确地模拟出磁铁在任意位置的磁场分布,当然也包括中心表磁。

09 surface field 12

FEMM有限元电磁仿真磁铁磁场强度分布图

我们之前发表的文章《工程师必会:不用打样就能算出磁铁强度?》中详细介绍了如何使用计算公式和有限元仿真,来计算磁铁的表磁,感兴趣的读者可以回看那篇文章。

四、表磁的测量:手中的“高斯计”该怎么用

测表磁的工具叫高斯计或特斯拉计。它是测量表磁的专业工具,其核心部件是一个非常小巧的霍尔元件,当它置于磁场中时,会因霍尔效应产生一个与磁场强度成正比的电压信号,经过仪器转换,我们就能读出高斯值了。

09 surface field 01

高斯计测量原理示意图

标准的高斯计测量表磁方法
将磁铁平放在非磁性工作台面,并远离其他磁铁。将高斯计的探头垂直于被测磁铁的极面,并贴合该极性表面的几何中心点,读取稳定后的峰值。

09 surface field 07

高斯计测量动作规范说明示意图

哪些因素会影响高斯计测量结果?
需要留意的是,虽然高斯计操作简单,但要获得可靠的测量结果,必须注意以下容易被忽视的影响因素:
1. 操作规范:“垂直”、“贴合”、“中心”这几个规范动作要素至关重要,任何偏移都会导致测量结果不准确;
2. 环境因素:钕铁硼磁铁的剩磁温度系数为-0.1%/℃,也就是说,夏天和冬天测同一块磁铁,20℃温差会导致表磁差异约2%。同时,铁质工具以及测量区域中堆放的其他磁铁,也会干扰高斯计的准确读数;
3. 设备精度:高斯计的霍尔探头的老化磨损,甚至高斯计的电池电量不足,都会造成显著的测量误差。

五、关于表磁的问答:解开常见疑惑

在日常的技术工作交流中,我们经常遇到一些关于表磁的典型问题。这些问题看似简单,但背后涉及的技术原理和实际考量值得深入探讨。

1. 问: 表磁能判断磁铁性能吗?
答:不能作为唯一标准,但确实是重要的参考指标。因为表磁是一个“综合结果”,它不仅受磁铁本身牌号(如N35、N52)的影响,还与磁铁的尺寸、形状和充磁状态息息相关。表磁的参考价值在于“同规格比较”,即当你需要检查一批同样尺寸、同样牌号的磁铁时,表磁就是一个快速、有效的检验工具。

2. 问: 有表磁数据可以查吗?
答:没有统一的、可直接检索的"表磁数据库"。原因很简单:表磁不是材料的固有属性,而是形状、尺寸、磁化方式的综合结果。同样牌号的N35材料,做成Φ10×5mm的圆柱和做成50×50×25mm的方块,表磁完全不同;磁化方向变了(轴向变径向),表磁分布也完全不同。同时由于磁铁应用极为广泛,针对各种应用设计的磁铁基本都是非标准品,材质、牌号、形状、尺寸、充磁差异极大,因此难以建立通用统一的表磁数据库。

3. 问: 表磁能否做到像公差一样精准?
答:难度很大。机械加工公差(如±0.05mm)可以通过设备与工艺稳定控制精度,但表磁受太多因素影响:原材料、加工、充磁等都会造成批次之间的差异,测量(比如前面提到的探头角度、位置、温度、接触状态)也会造成产品之间的差异。对于某些精密特种应用,需要精准控制表磁,可通过工艺控制、设计夹具、批量筛选等方式实现,但加工周期与成本会明显增加。

4. 问:磁铁N极和S极的表磁是一样的吗?
答:理论上应该一样,实际上会有差异。从原理讲,磁铁的N极和S极是对称的,磁化过程也是同时进行,所以两端的表磁应该相等。但实际生产中,可能由于材料、加工、充磁等原因,产品出现不对称,导致磁铁两端表磁产生差异。

5. 问:为什么同一块磁铁,不同人测的表磁不一样?
答:这是最常见的困惑,原因通常不是磁铁有问题,而是测量方法不规范。
典型"翻车"场景:
1. 测量位置不同:一个人测中心,另一个人偏离2-3mm,读数就会差5%~10%;
2. 探头角度不垂直:手腕倾斜,使探头接触贴合极面角度有些许倾斜,导致读数产生偏差;
3. 测量台面材质:一个在木桌上测,一个在铁台面上测,后者读数会产生明显差异;
4. 环境温度差异:早上车间15℃测的,下午实验室25℃测的,温差10℃会导致表磁结果波动;
5. 高斯计状态差异:一台刚校准过,另一台长期没有校准(可能漂移3%~5%)。

解决办法:
• 制定标准作业指导书:规定测量点位置(如"极面几何中心")、探头姿态("垂直紧贴不施压")、环境要求("25℃±2℃、非磁性台面");
• 使用定位夹具:实现对测量位置的精准重复定位。

6. 问:表磁会随时间衰减吗?
答:会,但衰减速度取决于材料和使用条件。
对于钕铁硼磁铁而言,"自然老化"是客观存在的,主要原因有两个:
1. 热退磁:即使在常温下,磁畴也会因热运动而缓慢"松动",导致磁性微弱下降
2. 氧化腐蚀:表面镀层破损后,内部材料氧化会进一步削弱磁性

典型衰减速度:
理想条件(常温、干燥、无外磁场):N35钕铁硼自然老化约0.5%~1%/10年,可忽略不计
高温环境(接近最高工作温度):每年可能衰减2%~5%
恶劣环境(高温+高湿+外磁场干扰):衰减速度可能达5%~10%/年

延缓衰减的方法:
• 避免工作温度接近材料极限(尤其对于薄片形状的产品)
• 做好表面防护(镀层完整、避免磕碰)
• 储存时远离强磁场和高温源
• 选择高矫顽力牌号(如N35H代替N35,温度稳定性更好)

以上6个问题,基本涵盖了工程师在使用表磁时最常遇到的困惑。

总结

读到这里,你应该对表磁有了全面认识:它是磁铁表面磁场强度的直观体现,方便快速测量,但不能替代完整的性能评估。

最后,用三句话总结全文核心:
1. 表磁≠剩磁≠性能,受形状、尺寸、测量方式影响。
2. 测量时需要注意标准规范操作,避免干扰因素。
3. 选型要综合考虑磁性能和工作温度,表磁只是参考之一。

想更深入了解磁铁的性能或如何选择合适的磁铁吗?可以参考[永磁材料选择指南]

如果你有具体问题,或者需要定制磁铁解决方案,欢迎联系我们!我们很乐意帮你找到答案。


发布时间: 25-12-12

敬请留言:

把你的信息写在这里并发送给我们。