工程师必会:不用打样就能算出磁铁强度?

“在距离3mm的位置,这块磁铁的磁场强度大概有多少高斯?” 在产品研发中,无论是设计霍尔传感器开关,还是搭建精密吸附结构,工程师们总会遇到这个直击灵魂的问题。磁场看不见摸不着,如果仅凭经验估算,轻则性能冗余、成本高企,重则设计失败、项目延期。

那么,有没有办法不需要打样,就可以快速预估一块磁钢的磁场表现呢?当然有!今天,我们就为各位大家分享从“快速估算”到“精确仿真”的实用计算方法。

一、 快速上手:近似计算公式——便捷估算磁场

对于标准简单形状的永磁材料,在没有复杂外部磁路影响的“单体”状态下,我们可以使用近似公式来快速估算其轴线上的磁场强度。这就像是工程师手边的“计算器”,虽然不能处理所有复杂情况,精确度也有不足,但用于简单应用初步评估和可行性分析已绰绰有余。

以最常见的方块、圆柱、圆环形钕铁硼、钐钴和铁氧体磁铁为例,计算其磁化方向上中心轴线上任意一点(距离表面z)的磁场强度B(z)的近似计算公式如下:

1)方块形磁铁

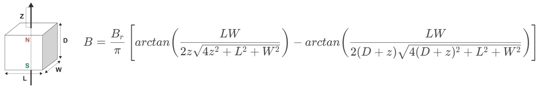
03 05 field cal 09

Br: 磁铁的剩磁,D: 磁铁磁化方向的厚度,L: 磁铁的长度,W:磁铁的宽度,z: 测量点到磁铁表面的距离(当z=0时,计算出的就是中心点的表磁)

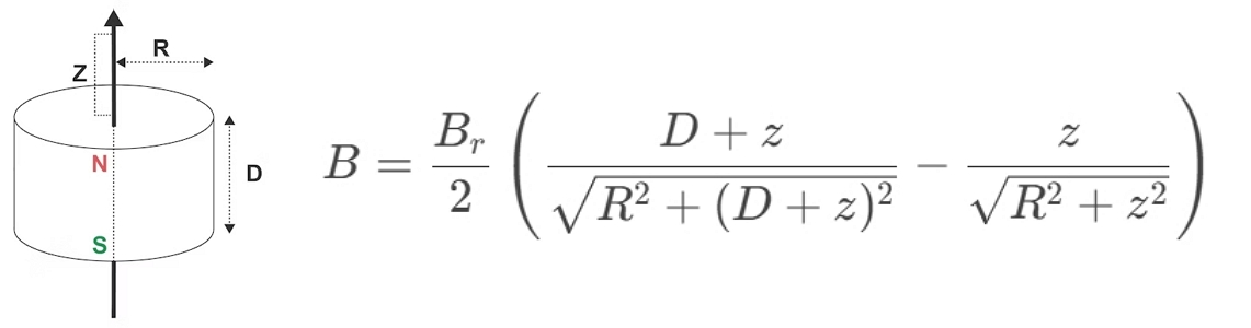
2)圆柱形磁铁

03 05 field cal 08

Br: 磁铁的剩磁,D: 磁铁磁化方向的厚度,R: 磁铁的半径,z: 测量点到磁铁表面的距离(当z=0时,计算出的就是中心点的表磁)

3)圆环形磁铁

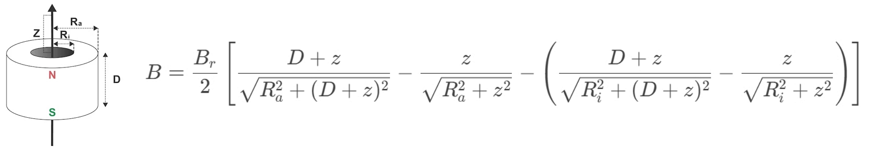
03 05 field cal 10

Br: 磁铁的剩磁,D: 磁铁磁化方向的厚度,Ra: 磁铁的外半径,Ri : 磁铁的内半径,z: 测量点到磁铁表面的距离(当z=0时,计算出的就是中心点的表磁)

4)磁铁吸附铁板

03 05 field cal 13

使用上述三个公式,D项带入2D进行计算,其他参数不变。

二、 精准打击:有限元仿真(FEA)——模拟真实的磁场空间

当你的设计变得复杂时,计算公式就显得力不从心了。比如,磁铁不是标准形状?特定位置和方向的磁场强度?磁铁被装配在铁壳里?多个磁铁之间的相互作用?这时,我们就需要祭出“终极武器”——有限元分析(Finite Element Analysis, FEA)仿真软件。

市面上主流的电磁仿真软件(如Ansys Maxwell, COMSOL Multiphysics, FEMM)可以构建一个与现实世界高度一致的“数字孪生”模型。工程师可以在软件中:
• 自由建模:创建任意形状的磁铁、导磁体(如纯铁、电工钢)和气隙。
• 精确赋材:为每个部件赋予准确的材料属性,比如为钕铁硼磁钢定义其退磁曲线(B-H curve)。
• 求解分析:软件会将整个模型“网格化”,分解成数以万计的微小单元,然后基于麦克斯韦方程组进行迭代求解,最终得出整个空间内的磁场分布。

03 05 field cal 12

Ansys Maxwell有限元电磁仿真(FEA)计算过程示意图

03 05 field cal 07

FEMM有限元电磁仿真磁铁磁场强度分布图

三、 理论与现实:为什么计算值和实测值总有偏差?

“我用公式算出来表磁是4000高斯,为什么用高斯计一测只有3800高斯,是磁铁的问题吗?” 这是许多工程师在完成计算后遇到的困惑。理论计算值与实际测量值之间存在偏差是正常的,主要源于以下几个方面:
• 材料性能偏差:我们计算时用的Br值通常是该牌号的典型值或中值。但实际生产的每一批次永磁材料,其性能会在一个标准公差范围内波动。
• 尺寸加工公差:图纸上的D10x5mm,实际产品可能是D9.95x4.98mm。这些微小的尺寸变化,尤其对于长径比较小的磁铁,会显著影响其表磁。
• 测量误差:高斯计探头的精度、探头是否与磁铁表面完全垂直紧密贴合、测量点是否精确位于几何中心,甚至高斯计探头的厚度,这些因素都会引入测量误差。
• 环境温度影响:钕铁硼等磁铁的磁性能对温度比较敏感。计算时通常基于室温(20℃),如果实际测量环境温度偏高,测得的表磁就会偏低。

因此,我们要理性看待计算结果:计算值是设计的理想基准,实测值是产品的实际表现。一个优秀的工程师会在设计时预留合理的安全余量,以应对这些不可避免的“理论与现实”差距。

03 05 field cal 11

总而言之,无论是快速便捷的计算公式,还是精准强大的有限元仿真,都是现代工程师进行磁性产品设计开发的宝贵工具。掌握它们,能让你在项目初期就洞察先机,有效避免返工,降本增效。

当然,磁场计算尤其是仿真分析,背后需要深厚的电磁学知识和丰富的磁科技工程实践经验。如果你正被复杂的磁路设计所困扰,或希望在选型阶段就获得可靠的磁场性能预测数据,不妨直接与我们联系。我们专业的工程师团队很乐意为您提供从计算、仿真到选材、打样的一站式技术支持。

想更深入了解磁铁的性能或如何选择合适的磁铁吗?可以参考[永磁材料选择指南]

如果你有具体问题,或者需要定制磁铁解决方案,欢迎联系我们!我们很乐意帮你找到答案。


发布时间: 25-10-03

敬请留言:

把你的信息写在这里并发送给我们。